350-400吨挖深12m淘金船
350-400吨挖深12m淘金船流程概述:
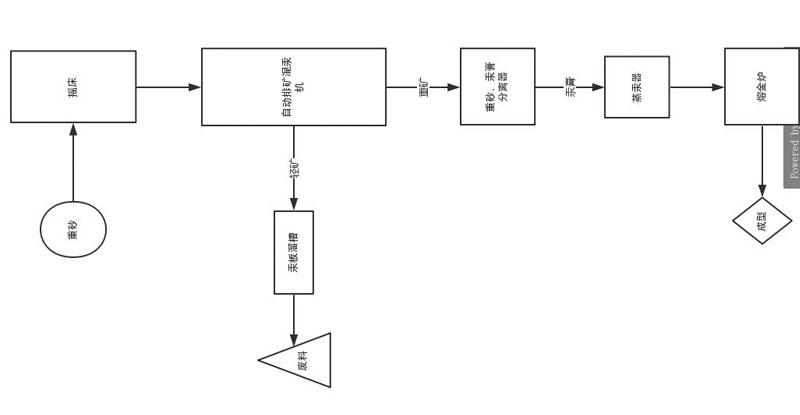
原料通过挖斗送入绞洗式滚筒筛内进行清洗,并且进行筛选分级为:细料、中料与废料三种规格。
废料通过输送机直接排出;
中料通过料斗溜槽排入一台振动溜槽进行回收后,废料排出;
细料排入料箱内通过两台沙泵分别送入两台1200#卧式全自动排矿离心机内进行回收,精料自动排出至料箱内,废料通过管道排出。
350-400吨挖深12m淘金船技术参数&报价清单
|
名称 |
规格 |
数量 |
功率 |
备注 |
|
主浮体 |
总长34.5米,单宽1.8米,高1.15米;面板4mm花纹板,底板、侧板6mm |
2条 |
|
|
|
边浮体 |
总长11米,单宽1.8米,高1.15米;面板4mm花纹板,底板、侧板6mm |
2条 |
|
|
|
方架/斜架 |
高6.5米,长5.9米,宽2米 |
1套 |
|
|
|
大臂 |
两节臂,长度约25.5米 |
1套 |
|
|
|
上四角轮 |
轮径1350mm,轴径:250mm,轴承型号:22348# |
1套 |
|
|
|
下五角轮 |
轮径1750mm,边板厚度25mm,轴径135mm,轴承型号22326#、6326#,共4盘 |
1套 |
|
|
|
挖斗 |
1000#,宽度1000mm |
67个 |
|
单斗容积0.3方 |
|
链条 |
弹簧钢 单厚50MM,总厚150MM 高150mm |
134条 |
|
|
|
龙门架 |
横梁Ø180*20管,立柱Ø159*16管,辅材150#方管 |
1套 |
|
|
|
滑轮 |
Ø250mm,7个, |
1套 |
|
|
|
滚筒筛 |
无轴绞洗式滚筒筛 |
1套 |
|
|
|
四角轮动力 |
1300#减速机(铁壳焊接) |
1套 |
|
|
|
起大臂动力 |
500#减速机 |
1套 |
|
|
|
主锚 |
400#减速机 |
1套 |
|
|
|
副锚 |
250#减速机 |
4套 |
|
|
|
振动溜槽 |
1200*4500 |
1台 |
|
|
|
离心机 |
1200#卧式全自动排矿离心机 |
2台 |
|
|
|
离心水泵 |
11KW |
1台 |
|
|
|
沙泵&料箱 |
4寸沙泵+15KW电机+料箱 |
2套 |
|
|
|
废料杆 |
B800X9m |
1套 |
|
|
|
配电箱 |
开关品牌:德力西或正泰 |
1套 |
|
不含线缆 |
|
发电机组 |
200KW康明斯 |
1台 |
|
|
|
装机总功率 |
143.5KW(不含给水泵) |
|||
|
工作功率 |
105.5KW(不含给水泵) |
|||
|
出厂价格 |
税前¥:淘金船报价15053659999索要(含发电机组,不含水电与运费,税率13%) |
|||
上一篇内容:下挖8-10米溜槽淘金船
上一篇内容:下挖6-7米河道淘金船
产品分类
冠诚产品中心
相关新闻
为您提供及时的选金资讯
- 淘金船一般多少钱一台?淘金船的价格范围较广,从几千元到几十万元不等
- 找到靠谱淘金船生产厂家,开启黄金时代!
- 淘金船在提取砂金的过程中起着关键作用
- 淘金船其工作原理基于金矿的比重差异和物理特性
- 铂族矿物怎么选?淘金船选铂矿
- 哪家的淘金船质量好?性价比高?
最近更新
十年沉淀为您提供专业的淘金产品
联系我们
我们真诚欢迎您的来电咨询和考察
全国统一咨询热线
15053659999
地址:青州市黄楼街道办事处西建德村
电话:0536-3593111;15053659999
传真:0536-3593111
手机:15053659999
Email:1592999333@qq.com












